时间:2024-07-28 来源:网络搜集 关于我们 0
本文将详细介绍缩放效果更好但计算量更大的双三次插值算法,包括算法基本原理、实现步骤、FPGA实现。
一、双三次插值算法
双三次插值(Bicubic interpolation)又叫双立方插值,是一种用于图像缩放的高阶插值方法,它通过在原始图像中选取16个像素点,并基于这些像素点进行加权平均来计算目标图像中每个像素的值。双三次插值算法可以生成较为平滑的缩放结果,但同时计算量也相对较大。
1、基本原理
遍历目标图像的每一个点,映射到原图像中,得到周围最近的16个点作为参考点,并根据权重计算函数计算权重系数,基于这个16个参考点,做水平方向和垂直方向的线性插值,也就是加权平均计算。
2、实现步骤
(1)映射坐标
根据图像的缩放比例,将目标图像中的每个像素点映射到原始图像中的相应位置。这个位置通常是一个浮点数坐标。设定(x,y)为目标图像中的一点,dstWidth和dstHeight为目标图像宽高,srcWidth和srcHeight是原图像的宽高,(fx,fy)是映射到原图像的浮点数坐标。
fx = x * ( srcWidth / dstWidth),fy = y * ( srcHeight / dstHeight)
(2)找到邻近像素
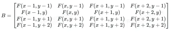
在原始图像中找到与目标图像中每个像素点相对应的16个邻近像素点。这16个像素点分别位于目标像素点在原始图像中的周围。设定P点(fx,fy)为映射点浮点数坐标。

对这个浮点数坐标取整,则x = floor(fx),y = floor(fy),水平方向权重系数dx = fx - x,垂直方向权重系数dy = fy - y;那么参考的16个点坐标分别为q00 = (x-1, y-1)、q01 = (x, y-1)、q02 = (x+1, y-1) 、 q03 = (x+2, y-1)、q10 = (x-1, y)、q11 = (x, y)、q12 = (x+1, y) 、 q13 = (x+2, y)、q20 = (x-1, y+1)、q21 = (x, y+1)、q22 = (x+1, y+1) 、 q23 = (x+2, y+1)、q30 = (x-1, y+2)、q31 = (x, y+2)、q32 = (x+1, y+2) 、 q33 = (x+2, y+2)。
转换成矩阵计算公式:(W为权重计算函数,F为原图像坐标数据)
P(fx,fy) = A*B*C
A = { W(1 + dx), W(dx) , W(1 - dx), W(2 - dx)}

C = { W(1 + dy), W(dy) , W(1 - dy), W(2 - dy)}
(3)权重计算
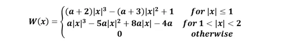
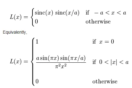
每个像素点的权重是根据其距离映射点的距离来计算的,距离越近,权重越大。常用的插值计算权重函数有:Bicubic、Mitchell、Lanczos。
常用的Bicubic函数:x为目标像素点到附近点的距离,a值一般取1或-0.5。


Lanczos核函数:


三角形采样:

Bell分布采样:

B样条曲线采样:

(4)水平方向插值
将16个参考点按照水平方向,分成4组:(q00、q01、q02、q03)、(q10、q11、q12、q13)、(q20、q21、q22、q23)和(q30、q31、q32、q33),分别进行加权平均计算,即为r0、r1、r2、r3、
r0 = W(1 + dx)*q00 + W(dx)*q01 + W(1 - dx)*q02 + W(2 - dx)*q03r1 = W(1 + dx)*q10 + W(dx)*q11 + W(1 - dx)*q12 + W(2 - dx)*q13r2 = W(1 + dx)*q20 + W(dx)*q21 + W(1 - dx)*q22 + W(2 - dx)*q23r3 = W(1 + dx)*q30 + W(dx)*q31 + W(1 - dx)*q32 + W(2 - dx)*q33
(5)垂直方向插值
按照垂直方向将r0、r1、r2、r3进行加权平均计算,得到像素点P最终的像素值。
P(fx,fy)= W(1 + dy)*r0 + W(dy)*r1 + W(1 - dy)*r2 + W(2 - dy)*r3
3、优点与缺点
(1)优点
双三次插值可以生成较为平滑的图像缩放结果,减少了锯齿现象。
可以较好地保持图像的细节和纹理信息。
(2)缺点
双三次插值的计算量较大,可能会对性能有一定的影响。
二、FPGA实现分析
缩放算法的基本结构都一样,主要分为2个部分:行数据缓存模块、插值算法计算模块(读数据地址逻辑、权重计算逻辑、插值数学运算)。
双三次插值算法的参考点是4*4窗口,所以行数据缓存模块需要缓存5行的乒乓模式。
与双线性插值算法相比,插值算法计算模块多了“权重计算逻辑”,且插值计算是4点加权平均计算。

如果需要工程源码,想要掌握更多的FPGA图像处理算法,学习FPGA图像算法的实现。请阅读下面这篇文章: